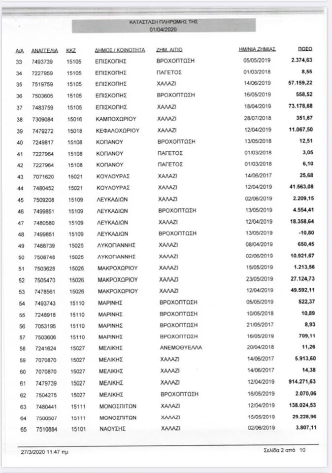
Τάσος Μπαρτζώκας για τις αποζημιώσεις ΕΛΓΑ: Μέχρι Μεγάλη Τετάρτη τα υπόλοιπα χωριά και σύντομα το 35%
Τις ευχαριστίες του για τα γρήγορα αντανακλαστικά και την επιτάχυνση των διαδικασιών καταβολής των αποζημιώσεων του ΕΛΓΑ (πάνω από 2,5 εκατ. ευρώ), που ξεκινούν την 1η Απριλίου, εκφράζει ο Τάσος Μπαρτζώκας, τόσο στο υπουργείο Αγροτικής Ανάπτυξης, όσο και στον πρόεδρο του ΕΛΓΑ κ. Λυκουρέντζο, και βέβαια, στο προσωπικό του τοπικού υποκαταστήματος ΕΛΓΑ στη Βέροια.
«Από επικοινωνία που είχα σήμερα με τις αρμόδιες υπηρεσίες του ΕΛΓΑ, κατά την οποία ζήτησα να επισπευσθεί η καταβολή και στα υπόλοιπα χωριά του Νομού μας στους δικαιούχους των αποζημιώσεων, έλαβα τη διαβεβαίωση ότι θα καταβληθεί κάθε προσπάθεια η πληρωμή να ολοκληρωθεί έως τη Μεγάλη Τετάρτη. Παράλληλα, θα καταβληθεί η μέγιστη προσπάθεια να αποζημιωθούν οι καλλιεργητές και για το υπόλοιπο 35% της αποζημίωσης όσο το δυνατόν συντομότερα, προκειμένου να στηριχθούν σε αυτή την έκτακτη συγκυρία» τονίζει σε δήλωσή του ο βουλευτής Ημαθίας.
Παρακάτω, ακολουθούν οι πίνακες των περιοχών που αποζημιώνονται από 1η Απριλίου:

